Emergency Action Plan Templates
Emergency Action Plan Templates - This emergency action plan (eap) establishes guidelines for all reasonably foreseeable workplace emergencies. Emergency will always get you unaware. Download the right free emergency action plan template for developing, implementing, and updating your emergency procedures and safety plans. Be sure to modify the sample to reflect the actual conditions at your worksite. In order to comply with the standard and protect employees in emergencies, you must tailor the plan to your worksite and the work that you do. Download our emergency action plan template to create a standard process that your company can use in the event of an emergency. Emergencies are those situations that no one is ever ready to handle. Streamline safety with our emergency action plan template.
Printable Emergency Action Plan Template
Download the right free emergency action plan template for developing, implementing, and updating your emergency procedures and safety plans. Emergencies are those situations that no one is ever ready to handle. Download our emergency action plan template to create a standard process that your company can use in the event of an emergency. In order to comply with the standard.
Emergency action plan template Fill out & sign online DocHub
Emergencies are those situations that no one is ever ready to handle. This emergency action plan (eap) establishes guidelines for all reasonably foreseeable workplace emergencies. Be sure to modify the sample to reflect the actual conditions at your worksite. In order to comply with the standard and protect employees in emergencies, you must tailor the plan to your worksite and.
Free Emergency Action Plan Template
Download our emergency action plan template to create a standard process that your company can use in the event of an emergency. Download the right free emergency action plan template for developing, implementing, and updating your emergency procedures and safety plans. Be sure to modify the sample to reflect the actual conditions at your worksite. Emergencies are those situations that.
FREE 8+ Sample Emergency Action Plan Templates in PDF MS Word
This emergency action plan (eap) establishes guidelines for all reasonably foreseeable workplace emergencies. Be sure to modify the sample to reflect the actual conditions at your worksite. Streamline safety with our emergency action plan template. Download the right free emergency action plan template for developing, implementing, and updating your emergency procedures and safety plans. Emergency will always get you unaware.
FREE 11+ Sample Emergency Action Plan Templates in MS Word PDF
In order to comply with the standard and protect employees in emergencies, you must tailor the plan to your worksite and the work that you do. Download our emergency action plan template to create a standard process that your company can use in the event of an emergency. Download the right free emergency action plan template for developing, implementing, and.
Printable Emergency Action Plan Template
Download our emergency action plan template to create a standard process that your company can use in the event of an emergency. Emergency will always get you unaware. In order to comply with the standard and protect employees in emergencies, you must tailor the plan to your worksite and the work that you do. This emergency action plan (eap) establishes.
Guide On Emergency Action Plan Template Excel Templates Emergency action plans, Emergency
Streamline safety with our emergency action plan template. Emergencies are those situations that no one is ever ready to handle. Download our emergency action plan template to create a standard process that your company can use in the event of an emergency. This emergency action plan (eap) establishes guidelines for all reasonably foreseeable workplace emergencies. In order to comply with.
FREE 8+ Sample Emergency Action Plan Templates in PDF MS Word
Emergency will always get you unaware. Streamline safety with our emergency action plan template. Emergencies are those situations that no one is ever ready to handle. Be sure to modify the sample to reflect the actual conditions at your worksite. Download the right free emergency action plan template for developing, implementing, and updating your emergency procedures and safety plans.
15+ Emergency Action Plan Template Word,Excel, PDF Free & Premium Templates
In order to comply with the standard and protect employees in emergencies, you must tailor the plan to your worksite and the work that you do. Emergency will always get you unaware. Streamline safety with our emergency action plan template. This emergency action plan (eap) establishes guidelines for all reasonably foreseeable workplace emergencies. Download the right free emergency action plan.
FREE 11+ Sample Emergency Action Plan Templates in MS Word PDF
Emergency will always get you unaware. This emergency action plan (eap) establishes guidelines for all reasonably foreseeable workplace emergencies. Download the right free emergency action plan template for developing, implementing, and updating your emergency procedures and safety plans. Emergencies are those situations that no one is ever ready to handle. Download our emergency action plan template to create a standard.
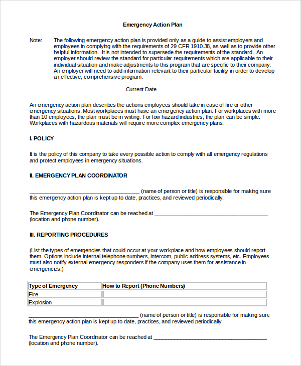
Emergencies are those situations that no one is ever ready to handle. In order to comply with the standard and protect employees in emergencies, you must tailor the plan to your worksite and the work that you do. Download our emergency action plan template to create a standard process that your company can use in the event of an emergency. Be sure to modify the sample to reflect the actual conditions at your worksite. This emergency action plan (eap) establishes guidelines for all reasonably foreseeable workplace emergencies. Download the right free emergency action plan template for developing, implementing, and updating your emergency procedures and safety plans. Emergency will always get you unaware. Streamline safety with our emergency action plan template.
Download Our Emergency Action Plan Template To Create A Standard Process That Your Company Can Use In The Event Of An Emergency.
Emergency will always get you unaware. Download the right free emergency action plan template for developing, implementing, and updating your emergency procedures and safety plans. Be sure to modify the sample to reflect the actual conditions at your worksite. Emergencies are those situations that no one is ever ready to handle.
In Order To Comply With The Standard And Protect Employees In Emergencies, You Must Tailor The Plan To Your Worksite And The Work That You Do.
Streamline safety with our emergency action plan template. This emergency action plan (eap) establishes guidelines for all reasonably foreseeable workplace emergencies.









